Supplemental data: The Brain of Dante
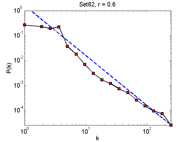
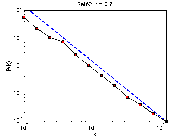
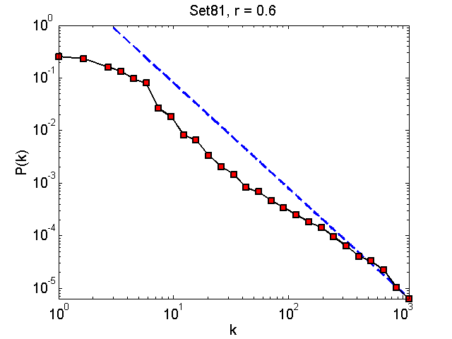
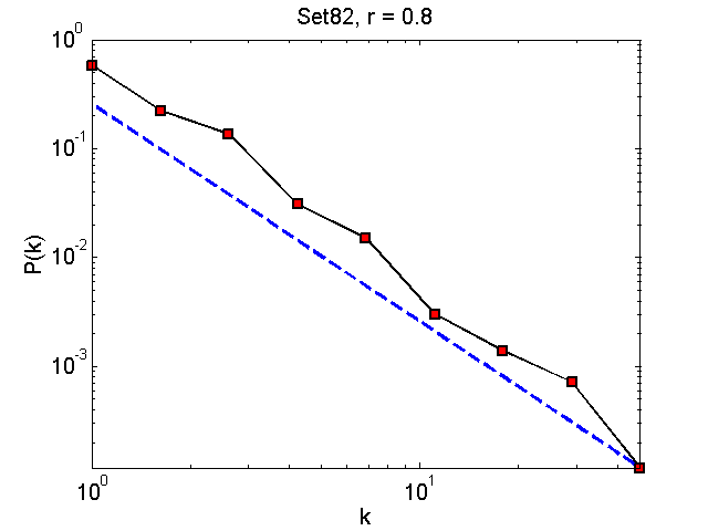
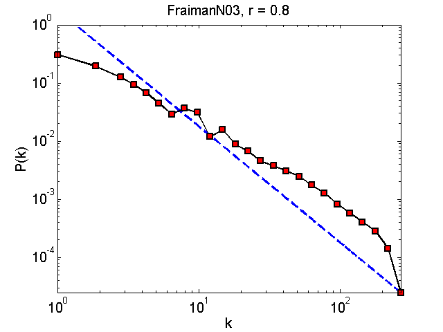
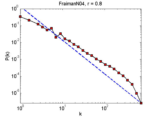
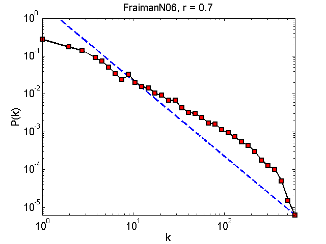
Each block shows the data for a single dataset "SetXY" from the paper Scale-Free Brain Functional Networks, where X is the subject number and Y is the experiment number for X. The functional tasks that the subjects are performing in each experiment are described in info.txt. The only experiment where the subject is at rest is Set14. At the bottom there are few additional datasets FraimanN0X from the paper Ising-like dynamics in large-scale functional brain networks. The data are for the graphs obtained from the full correlation matrices by thresholding them with a given correlation threshold, i.e., the link between two voxels exists if the positive correlation between the voxels exceeds the threshold.
Notations:
- r -- correlation threshold
- |S1| -- relative size of the largest connected component
- |S2| -- relative size of the second largest connected component
- N -- graph size
- kmax -- largest degree
- <k> -- average degree
- <c> -- average clustering excluding nodes of degree 1
- k -- node degree
- P(k) -- degree distribution
- c(k) -- degree-dependent clustering
Set11
















Set12
















Set13
















Set14
















Set21
















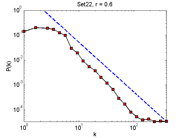
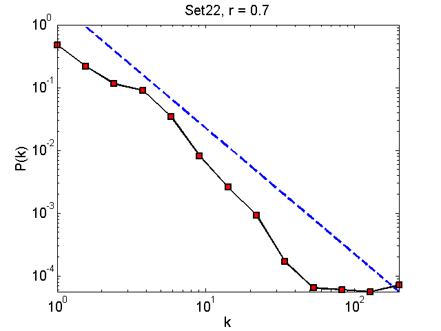
Set22
















Set23
















Set31
















Set32
















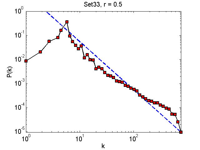
Set33
















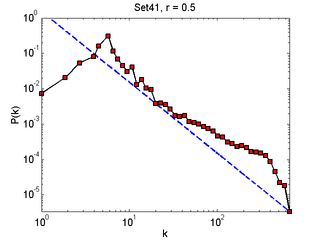
Set41
















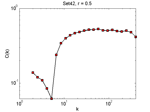
Set42
















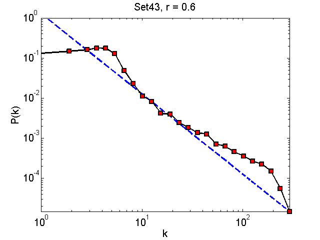
Set43
















Set51
















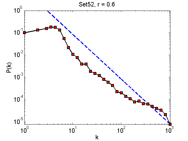
Set52
















Set53
















Set61
















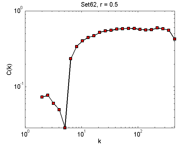
Set62
















Set63
















Set71
















Set72
















Set73
















Set81
















Set82
















Set83
















FraimanN01














FraimanN03














FraimanN04














FraimanN06














FraimanN07















